კლაციდი ი.ვ–ის ზოგადი ინფორმაცია
კლაციდი ი.ვ. Klacid. მაკროლიდების ჯგუფის სამკურნალო საშუალება. აქტიური ნივთიერება – კლარითრომიცინი. Clarithromycin. მწარმოებელი ფირმა – Famar L Aigle (საფრანგეთი).
კლაციდი ი.ვ–ის შემადგენლობა და გამოშვების ფორმა
კლაციდი ი.ვ. Klacid გამოდის 500მლ ფლაკონის ფორმით. 1 ფლაკონი შეიცავს კლარითრომიცინის 500 მგ; დამხმარე ნივთიერებებია: ლაქტობიონის მჟავა; ნატრიუმის ჰიდროქსიდი. წამლის ფორმა. ინფუზიის ხსნარის მოსამზადებლი ლიოფილიზირებული ფხვნილი. აღწერა: ლიოფილიზირებული ფხვნილი თეთრიდან თითქმის თეთრ ფერამდე, სუსტი არომატული სუნით.
კლაციდის (ი.ვ.) ფასები ქართულ ფარმაცევტულ ბაზარზე
კლაციდის (ი.ვ.) ფასები ფარმადეპოში
კლაციდის (ი.ვ.) ფასები ავერსში
კლაციდის (ი.ვ.) ფასები psp-ში
კლაციდის (ი.ვ.) ფასები სხვა აფთიაქებში
ინფორმაცია სხვა პრეპარატების შესახებ, რომლებიც იგივე მოქმედ ნივთიერებებს შეიცავენ, რასაც კლაციდი (ი.ვ.) , იხილეთ ქვემოთ, შესაბამის რუბრიკაში.აფთიაქებს დინამიური ინფორმაცია კლაციდის (ი.ვ.) ფასების შესახებ შეუძლიათ მოგვაწოდონ mpifarm@gmail.com
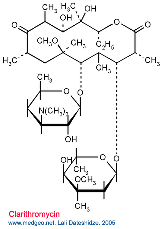
კლაციდი ი.ვ–ის აქტიური ნივთიერება
კლარითრომიცინი. Clarithromycin. ქიმიური დასახელება – 6-O-მეთილერითრომიცინი. ბრუტო–ფორმულა:C38H69NO13. კლარითრომიცინს მიაკუთვნებენ მაკროლიდების და აზალიდების ჯგუფს. CAS-კოდი:81103-11-9.

კლაციდი ი.ვ–ის სინონიმები
კლარიციდი 250 მგ (CLARICIDE 250 mg, Bilim, თურქეთი), კლაციდი (Klacid, Abbott, საფრანგეთი), კლაციდი სრ (KLACID SR, Abbott, დიდი ბრიტანეთი), რომიკლარი 125 მგ (Romiclar, Asfarma, თურქეთი), ულცერონი (ULCERON, AVERSI, საქართველო).
კლაციდი ი.ვ–ის გამოყენების ძირითადი მიმართულებებია
- ინფექციები ზემო სასუნთქი გზების
- ინფექციები ქვემო სასუნთქი გზების
- ინფექციები კანისა და რბილი ქსოვილების
- ინფექციები, მიკობაქტერიული, დისემინირებული ან ლოკალიზებული , Mycobacterium avium an Mycobacterium intracellular. ლოკალიზებული ინფექციები, გამოწვეული Mycobacterium chelonae, Mycobacterium fortuitum an Mycobacterium kansasii გამოწვეული