ციკლოსპორინ ჰექსალი
ციკლოსპორინ ჰექსალის ზოგადი ინფორმაცია
ციკლოსპორინ ჰექსალი. Ciclosporin Hexal. იმუნოდეპრესიული პრეპარატების ჯგუფის სამკურნალო საშუალება. აქტიური ნივთიერება – ციკლოსპორინი. Ciclosporin. ათქ.კლასიფიკაციის კოდი – L04AA. მწარმოებელი ფირმა – Sandoz (გერმანია).
ციკლოსპორინ ჰექსალის შემადგენლობა და გამოშვების ფორმა
ციკლოსპორინ ჰექსალი. Ciclosporin Hexal გამოდის 25 მგ კაფსულის ფორმით.
ციკლოსპორინ ჰექსალის ფასები ქართულ ფარმაცევტულ ბაზარზე
ციკლოსპორინ ჰექსალის ფასები ფარმადეპოში
ციკლოსპორინ ჰექსალის ფასები ავერსში
ციკლოსპორინ ჰექსალის ფასები psp-ში
ციკლოსპორინ ჰექსალის ფასები სხვა აფთიაქებში
ინფორმაცია სხვა პრეპარატების შესახებ, რომლებიც იგივე მოქმედ ნივთიერებებს შეიცავენ, რასაც ციკლოსპორინ ჰექსალი, იხილეთ ქვემოთ, შესაბამის რუბრიკაში.აფთიაქებს დინამიური ინფორმაცია ციკლოსპორინ ჰექსალის ფასების შესახებ შეუძლიათ მოგვაწოდონ mpifarm@gmail.com
ციკლოსპორინ ჰექსალის აქტიური ნივთიერება
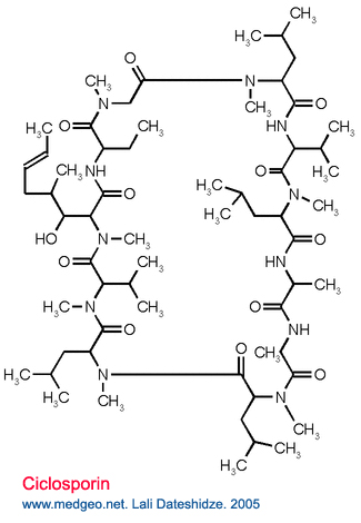
ციკლოსპორინი. Ciclosporin. ქიმიური დასახელება – [R-[R*,S*-(E)]]-ციკლური (L-ალანილ-D-ალანილ-N-მეთილ-L-ლეიცილ-N-მეთილ-L-ლეიცილ-N-მეთილ-L- ვალილ-3-ჰიდროქსი-N,4-დიმეთილ-L-2-ამინო-6-ოქტენოილ-L-ალფა-ამინობუტირილ -N-მეთილგლიცილ -N-მეთილ-L-ლეიცილ-L-ვალილ-N-მეთილ-L-ლეიცილი). ბრუტო–ფორმულა: C62H111N11O12. ციკლოსპორინს მიაკუთვნებენ იმუნოდეპრესანტების ჯგუფს. CAS-კოდი: 59865-13-3.

ციკლოსპორინ ჰექსალის სინონიმები
ეკორალი კაფსულა (EQUORAL Caps, Teva, ჩეხეთი), ეკორალი ხსნარი (EQUORAL Sol, Teva, ჩეხეთი), სანდიმუნ ნეორალი (Sandimun Neoral, NOVARTIS CONSUMER HEALTH S.A,, გერმანია).
